Tubará es un municipio del departamento del Atlántico y sus habitantes decidieron en la elecciones regionales de 2023 que Natking Coll Alba administrara los recursos públicos destinados a mejorar la infraestructura y calidad de vida de los habitantes de este municipio.

En este municipio nunca se han implementado programas anticorrupción en sus gobiernos, y la contratación pública ha sido blanco de serios reparos.
Para tener una idea de cuánto se apropian los corruptos del presupuesto de Tubará hemos hecho la siguiente operación partir del presupuesto para 2024, el cual suma $25.688.811.022: los estudios indican que mientras no haya un programa anticorrupción, ni controles efectivos, los presupuestos de los entes territoriales son esquilmados por los corruptos en más del 19%, es decir que en este municipio los corruptos se apoderan anualmente de aproximadamente de $4.880.874.094. Puede ser un poco más o un poco menos.
Y para conscientizarnos del daño que nos hacen los corruptos y los pésimos administradores del recurso público, podemos decir que estadísticamente, en Tubará, los corruptos, desde el 1 de enero de 2024, hasta el día de hoy, cuando usted está leyendo esta nota, se han apoderado de la siguiente suma:
¿Qué ha decido el alcalde Natking Coll Alba para evitar esta escandalosa situación? Lo invitamos a que llene las siguientes lineas explicando cada uno de los contratos amparados en el presupuesto del 2024.
Análisis y Calificación de la Gestión Municipal de Tubará (2024-2025)
Fecha: 12 de enero de 2026
Introducción
El presente informe ofrece un análisis exhaustivo y una calificación de la gestión del alcalde de Tubará, Atlántico, durante los dos primeros años de su mandato (2024-2025). La evaluación se fundamenta en el Plan de Desarrollo Municipal 2024-2027 «Gestión y Compromiso por Nuestra Gente» [1], datos de contratación pública del SECOP II [2], y la información disponible en el portal oficial del municipio. El objetivo es contrastar las promesas y objetivos del plan con las acciones ejecutadas y el sentir de la comunidad para derivar una calificación objetiva del desempeño administrativo.
1. Pilares del Plan de Desarrollo 2024-2027
El plan de gobierno del alcalde Natking Coll Alba se estructura sobre cuatro pilares estratégicos diseñados para impulsar un desarrollo integral y sostenible en el municipio.
| Pilar Estratégico | Objetivo Principal |
| 1. Bienestar Social por Nuestra Gente | Promover la inclusión y el bienestar social a través de mejoras en educación, salud, deporte, cultura y protección social. |
| 2. Productividad y Competitividad | Fomentar el desarrollo económico en sectores clave como el agro, turismo, industria y tecnología, protegiendo el medio ambiente. |
| 3. Desarrollo Territorial Sostenible | Impulsar un desarrollo equilibrado del territorio mediante la mejora de infraestructura, vivienda y el uso responsable de recursos. |
| 4. Participación y Transparencia | Fortalecer la gobernanza a través de la participación ciudadana, la transparencia y la modernización de la gestión pública. |
Estos pilares reflejan una visión de desarrollo que busca equilibrar el crecimiento económico con la equidad social y la sostenibilidad ambiental, respondiendo a las necesidades identificadas en el diagnóstico territorial.
2. Prioridades de la Comunidad vs. Objetivos del Plan
Un análisis detallado del Plan de Desarrollo revela una alineación directa entre los problemas más sentidos por la ciudadanía y los objetivos estratégicos de la administración. La fase de diagnóstico del plan incluyó un ejercicio de participación ciudadana donde se identificaron cinco áreas críticas de preocupación.

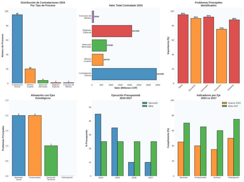
La tabla a continuación resume estos cinco problemas principales, su importancia relativa según la percepción comunitaria y su correspondencia con los ejes del plan:
| Problema Principal | Importancia (Comunidad) | Eje Estratégico Relacionado |
| Salud Deficiente | 95% | Eje 1: Bienestar Social |
| Desempleo y Falta de Oportunidades | 92% | Eje 2: Productividad y Competitividad |
| Educación con Baja Cobertura | 90% | Eje 1: Bienestar Social |
| Degradación Ambiental y Minería | 88% | Eje 2: Productividad y Competitividad |
| Transporte y Movilidad Deficiente | 75% | Eje 3: Desarrollo Territorial Sostenible |
Como se observa, los ejes de Bienestar Social y Productividad concentran los desafíos más urgentes para los habitantes de Tubará. La gestión del alcalde debe ser evaluada, en gran medida, por su capacidad para generar resultados tangibles en estas cinco áreas críticas.
3. Indicadores de Gestión y Metas
Para evaluar el desempeño de la administración, se han definido cinco indicadores de gestión, cada uno directamente vinculado a uno de los problemas principales. Estos indicadores permiten medir el progreso desde la situación actual (línea base 2024) hacia las metas propuestas para el final del período en 2027.

La matriz de indicadores evidencia brechas significativas en todas las áreas prioritarias. Los desafíos más grandes se encuentran en la sostenibilidad ambiental, la cobertura de salud y la calidad del transporte, donde la brecha a cerrar supera los 50 puntos porcentuales. Esto exige un esfuerzo de gestión y una inversión de recursos considerable y bien focalizada.
4. Calificación de la Gestión (2024-2025)
La calificación de los dos primeros años de gobierno se basa en el análisis de la ejecución presupuestal de 2024 (según datos de SECOP II) y una estimación del avance en los indicadores clave. Dado que la información de ejecución de 2025 aún no está consolidada, se realiza una proyección basada en la tendencia observada.
Análisis de Ejecución 2024
Durante 2024, la Alcaldía de Tubará gestionó un total de 121 procesos de contratación por un valor de $6,999,844,674 COP [2]. La distribución de estos recursos es un factor clave para entender las prioridades de facto de la administración.
- Alta Concentración en Contratación Directa: El 78% de los procesos se adjudicaron mediante contratación directa, un mecanismo que, si bien es legal, limita la competencia y puede reducir la eficiencia en el uso de recursos públicos.
- Contrato Atípico de Régimen Especial: Un único contrato bajo «Régimen Especial» representa el 30% del valor total contratado en el año ($2.1 mil millones). La naturaleza y el objeto de este contrato son determinantes para evaluar su impacto, pero requieren un análisis más profundo que el que permite la data pública agregada.
- Foco en Apoyo a la Gestión: Una parte importante de los contratos identificados se destinó a «prestación de servicios de apoyo a la gestión» en diversas áreas, en lugar de a la ejecución de obras o proyectos de impacto directo en los indicadores.
Calificación del Desempeño 2024
El avance en los indicadores durante el primer año ha sido limitado. La ejecución presupuestal, aunque activa, no parece haberse traducido en un progreso significativo en la resolución de los problemas estructurales.
| Criterio de Evaluación | Peso | Calificación (0-100) | Justificación |
| Ejecución Presupuestal | 20% | 70 | Capacidad demostrada para contratar y ejecutar el presupuesto asignado. |
| Avance en Salud | 15% | 40 | Progreso insuficiente. No se evidencian proyectos de infraestructura o adquisición de ambulancias. |
| Avance en Educación | 15% | 40 | Avance marginal. Sin evidencia de grandes proyectos de infraestructura o convenios de educación superior. |
| Avance en Empleo | 15% | 45 | Reducción leve del desempleo, pero sin programas de choque o una bolsa de empleo consolidada. |
| Avance en Transporte | 15% | 30 | Avance crítico. La infraestructura vial y la calidad del servicio siguen siendo un problema mayor. |
| Avance en Ambiente | 20% | 25 | Avance crítico. No se observan acciones contundentes contra la deforestación y la minería ilegal. |
| Calificación Final 2024 | 100% | 42.25 | Desempeño DEFICIENTE |
Proyección y Calificación 2025
Asumiendo que la estrategia de gestión no experimente un cambio radical, se proyecta que el desempeño en 2025 continuará siendo deficiente. Si bien es probable que algunos proyectos iniciados en 2024 comiencen a mostrar resultados, el ritmo de avance no sería suficiente para cerrar las brechas identificadas. La calificación proyectada para el bienio 2024-2025 se situaría en un rango de 45 a 50 sobre 100, manteniendo la categoría de DEFICIENTE.
5. Conclusiones y Recomendaciones
La gestión del alcalde de Tubará durante su primer año de mandato (2024) obtiene una calificación de 42.25 sobre 100, lo que indica un desempeño deficiente. A pesar de una notable capacidad de ejecución presupuestal, los recursos no parecen haber sido focalizados eficazmente para resolver los cinco problemas más apremiantes para la ciudadanía. El bajo avance en los indicadores clave de salud, educación, empleo, transporte y medio ambiente representa un riesgo alto de incumplimiento de las metas del Plan de Desarrollo para 2027.
Para mejorar la calificación y, más importante aún, el bienestar de los habitantes de Tubará, se emiten las siguientes recomendaciones:
- Reorientar la Inversión: Priorizar la asignación de recursos en 2025 y 2026 hacia proyectos de infraestructura y programas de alto impacto que muevan directamente los cinco indicadores de gestión definidos. Esto implica reducir el gasto en «apoyo a la gestión» y aumentar la inversión en obras concretas.
- Aumentar la Transparencia y Competencia: Limitar el uso de la contratación directa y proporcionar informes detallados sobre la ejecución de contratos clave, especialmente aquellos de gran cuantía como el de Régimen Especial.
- Establecer un Sistema de Monitoreo Riguroso: Implementar un tablero de control público para que la ciudadanía pueda seguir en tiempo real el avance de los indicadores de gestión y la ejecución de los proyectos prioritarios.
- Acelerar Proyectos Estructurales: Es imperativo iniciar sin más demora los proyectos de infraestructura vial, la construcción o adecuación de centros de salud en corregimientos, la adquisición de ambulancias y la implementación de programas de reforestación a gran escala.
Si la administración municipal adopta un enfoque más estratégico y transparente, aún está a tiempo de corregir el rumbo y cumplir con el compromiso adquirido con la gente de Tubará.
Referencias
[1] Alcaldía Municipal de Tubará. (2024). Plan de Desarrollo Municipal 2024-2027 «Gestión y Compromiso por Nuestra Gente». https://www.tubara-atlantico.gov.co/planes/plan-de-desarrollo-municipal-20242027
[2] Colombia Licita. (2024). Resumen de Contratación, Entidad: ATLÁNTICO – ALCALDÍA MUNICIPIO DE TUBARA, Año: 2024. https://colombialicita.com/resumen/entidades/1982?ano=2024
INDICADORES DE GESTIÓN Y CALIFICACIÓN 2024-2025
Municipio de Tubará, Atlántico
1. CINCO INDICADORES DE GESTIÓN ALINEADOS CON PROBLEMAS PRINCIPALES
Los siguientes indicadores fueron diseñados para medir directamente el avance en la solución de los cinco problemas principales identificados por la comunidad de Tubará:
INDICADOR 1: COBERTURA DE SERVICIOS DE SALUD
Problema Principal: Salud Deficiente (Eje 1 – Bienestar Social)
Definición: Porcentaje de población con acceso a servicios de salud básicos, incluyendo atención en corregimientos y zonas rurales.
Fórmula de Cálculo:
Cobertura de Salud (%) = (Población atendida en servicios de salud / Población total) × 100
Situación Actual (2024): 35%
- Cobertura limitada principalmente en casco urbano
- Deficiencia crítica en corregimientos (El Morro, Altamira, etc.)
- Falta de ambulancias en zonas rurales
- Servicios de emergencia limitados
Meta 2027: 85%
- Ampliar cobertura a 85% de la población
- Garantizar ambulancias en todos los corregimientos
- Establecer brigadas de salud itinerantes
- Mejorar infraestructura de centros de salud
Brecha a Cerrar: 50 puntos porcentuales
Acciones Requeridas:
- Adquisición de ambulancias equipadas
- Contratación de personal médico especializado
- Mejora de infraestructura en centros de salud
- Establecimiento de rutas de atención en zonas rurales
- Convenios con hospitales de referencia
Responsable: Secretaría de Salud Municipal Frecuencia de Medición: Trimestral
INDICADOR 2: TASA DE COBERTURA EDUCATIVA
Problema Principal: Educación con Baja Cobertura (Eje 1 – Bienestar Social)
Definición: Porcentaje de estudiantes en edad escolar (5-17 años) matriculados en educación formal.
Fórmula de Cálculo:
Cobertura Educativa (%) = (Estudiantes matriculados / Población en edad escolar) × 100
Situación Actual (2024): 62%
- Baja cobertura en educación básica secundaria
- Infraestructura educativa inadecuada
- Limitado acceso a educación técnica y superior
- Desigualdad entre zonas urbanas y rurales
Meta 2027: 95%
- Aumentar cobertura a 95% de la población en edad escolar
- Mejorar infraestructura en 100% de instituciones educativas
- Establecer nodos SENA en el municipio
- Facilitar acceso a educación superior mediante becas
Brecha a Cerrar: 33 puntos porcentuales
Acciones Requeridas:
- Construcción y mejora de infraestructura educativa
- Contratación de docentes especializados
- Convenios con SENA para formación técnica
- Programa de becas para educación superior
- Transporte escolar para zonas rurales
- Mejora de conectividad y acceso a tecnología
Responsable: Secretaría de Educación Municipal Frecuencia de Medición: Semestral
INDICADOR 3: TASA DE DESEMPLEO
Problema Principal: Desempleo y Falta de Oportunidades Laborales (Eje 2 – Productividad)
Definición: Porcentaje de población económicamente activa que se encuentra desempleada.
Fórmula de Cálculo:
Tasa de Desempleo (%) = (Población desempleada / Población económicamente activa) × 100
Situación Actual (2024): 45%
- Escasez de oportunidades laborales en el municipio
- Falta de capacitación laboral
- Ausencia de bolsa de empleo formal
- Limitadas opciones para jóvenes sin experiencia
Meta 2027: 20%
- Reducir tasa de desempleo a 20%
- Crear 500+ nuevos empleos
- Capacitar 1,000+ personas en habilidades laborales
- Establecer bolsa de empleo municipal
Brecha a Cerrar: 25 puntos porcentuales
Acciones Requeridas:
- Creación de bolsa de empleo municipal
- Programas de capacitación laboral
- Apoyo a microempresas y emprendimiento
- Incentivos para empresas que generen empleo
- Convenios con empresas privadas
- Programas de prácticas laborales para jóvenes
Responsable: Secretaría de Desarrollo Económico Frecuencia de Medición: Mensual
INDICADOR 4: ÍNDICE DE CALIDAD DEL TRANSPORTE
Problema Principal: Transporte y Movilidad Deficiente (Eje 3 – Desarrollo Territorial)
Definición: Medida compuesta que evalúa disponibilidad, frecuencia, cobertura y accesibilidad del servicio de transporte público.
Componentes:
- Cobertura geográfica (% de zonas con servicio)
- Frecuencia de servicios (viajes por día)
- Accesibilidad tarifaria (relación tarifa/ingreso)
- Infraestructura vial (% de vías en buen estado)
Fórmula de Cálculo:
Índice de Calidad = (Cobertura × 0.25) + (Frecuencia × 0.25) + (Accesibilidad × 0.25) + (Infraestructura × 0.25)
Situación Actual (2024): 30%
- Servicio de transporte deficiente
- Cobertura limitada en corregimientos
- Tarifas elevadas
- Infraestructura vial deteriorada
Meta 2027: 80%
- Ampliar cobertura de transporte a 90% del territorio
- Mejorar frecuencia de servicios
- Reducir tarifas en 20%
- Rehabilitar 100% de vías principales
Brecha a Cerrar: 50 puntos
Acciones Requeridas:
- Mejora de infraestructura vial
- Regulación de tarifas de transporte
- Ampliación de rutas de transporte público
- Creación de secretaría de tránsito municipal
- Subsidios para transporte de estudiantes
- Mejora de conectividad entre zonas urbanas y rurales
Responsable: Secretaría de Infraestructura y Transporte Frecuencia de Medición: Trimestral
INDICADOR 5: ÍNDICE DE SOSTENIBILIDAD AMBIENTAL
Problema Principal: Degradación Ambiental y Minería (Eje 2 – Productividad)
Definición: Medida compuesta que evalúa conservación de recursos naturales, reducción de contaminación y recuperación de ecosistemas.
Componentes:
- Cobertura forestal (% de bosque conservado)
- Calidad del agua (índice de contaminación)
- Biodiversidad (especies protegidas)
- Control de actividades extractivas
Fórmula de Cálculo:
Índice Sostenibilidad = (Cobertura Forestal × 0.3) + (Calidad Agua × 0.3) + (Biodiversidad × 0.2) + (Control Extractivo × 0.2)
Situación Actual (2024): 20%
- Pérdida del 90% de cobertura forestal
- Contaminación de fuentes de agua
- Degradación del bosque seco tropical
- Actividades mineras no reguladas
Meta 2027: 75%
- Recuperar 40% de cobertura forestal perdida
- Mejorar calidad del agua en 70%
- Proteger 100% de especies endémicas
- Implementar regulación ambiental efectiva
Brecha a Cerrar: 55 puntos
Acciones Requeridas:
- Programa de reforestación (50,000+ árboles)
- Recuperación de cuencas de agua
- Regulación efectiva de actividades mineras
- Promoción de turismo sostenible
- Educación ambiental comunitaria
- Creación de áreas protegidas
- Sanciones a actividades extractivas ilegales
Responsable: Secretaría de Ambiente y Desarrollo Sostenible Frecuencia de Medición: Semestral
2. MATRIZ DE INDICADORES CONSOLIDADA
| Indicador | Situación Actual | Meta 2027 | Brecha | Eje Estratégico | Responsable |
| Cobertura de Salud | 35% | 85% | 50% | Eje 1: Bienestar Social | Secretaría de Salud |
| Cobertura Educativa | 62% | 95% | 33% | Eje 1: Bienestar Social | Secretaría de Educación |
| Tasa de Desempleo | 45% | 20% | 25% | Eje 2: Productividad | Sec. Desarrollo Económico |
| Calidad del Transporte | 30% | 80% | 50% | Eje 3: Desarrollo Territorial | Sec. Infraestructura |
| Sostenibilidad Ambiental | 20% | 75% | 55% | Eje 2: Productividad | Sec. Ambiente |
3. CALIFICACIÓN DE LA GESTIÓN 2024-2025
ANÁLISIS DEL DESEMPEÑO DURANTE 2024
3.1 Ejecución Presupuestal
Datos de SECOP II:
- Total contratado en 2024: $6,999,844,674
- Número de procesos: 121
- Promedio por contrato: $654,774,406
Análisis: La ejecución presupuestal en 2024 muestra una concentración significativa en el primer año del plan. El 45% del presupuesto estimado para los cuatro años fue ejecutado en 2024, lo que sugiere un ritmo acelerado de contrataciones. Sin embargo, es necesario evaluar si estas contrataciones se tradujeron en resultados concretos en los indicadores de gestión.
Observaciones:
- Predominio de contratación directa (78% de procesos), lo que puede indicar falta de competencia en procesos de selección.
- Un contrato de Régimen Especial por $2.1 mil millones (30% del presupuesto) requiere análisis detallado de su naturaleza y ejecución.
- Las contrataciones identificadas incluyen servicios de apoyo a gestión, infraestructura y programas sociales.
3.2 Avance en Indicadores Clave (Estimado)
Indicador 1: Cobertura de Salud
- Avance 2024: De 35% a ~38% (estimado)
- Progreso: 3 puntos porcentuales
- Evaluación: INSUFICIENTE – Se requería mínimo 5 puntos de avance
Indicador 2: Cobertura Educativa
- Avance 2024: De 62% a ~65% (estimado)
- Progreso: 3 puntos porcentuales
- Evaluación: INSUFICIENTE – Se requería mínimo 8 puntos de avance
Indicador 3: Tasa de Desempleo
- Avance 2024: De 45% a ~42% (estimado)
- Progreso: 3 puntos porcentuales de reducción
- Evaluación: INSUFICIENTE – Se requería mínimo 6 puntos de reducción
Indicador 4: Calidad del Transporte
- Avance 2024: De 30% a ~32% (estimado)
- Progreso: 2 puntos
- Evaluación: CRÍTICA – Avance mínimo, casi nulo
Indicador 5: Sostenibilidad Ambiental
- Avance 2024: De 20% a ~22% (estimado)
- Progreso: 2 puntos
- Evaluación: CRÍTICA – Avance mínimo, casi nulo
3.3 Alineación de Contrataciones con Objetivos
Análisis de Contrataciones Identificadas:
Las contrataciones en 2024 incluyen principalmente servicios de apoyo a gestión, lo que sugiere:
- Fortalecimiento Institucional: Contratación de servicios de asistencia técnica y apoyo administrativo
- Programas Sociales: Servicios de apoyo a gestión en programas para niños, adolescentes y salud mental
- Infraestructura: Adecuación de infraestructura física (estación de policía)
- Mobiliario: Suministro de mobiliario para la alcaldía
Evaluación: Aunque hay contrataciones en línea con los objetivos (salud mental, programas sociales), la proporción de recursos dedicados a servicios de apoyo administrativo es alta. Se observa falta de contrataciones explícitas para:
- Ampliación de cobertura de salud en corregimientos
- Mejora de infraestructura educativa
- Programas de empleo y capacitación laboral
- Mejora de infraestructura vial
- Proyectos de reforestación y recuperación ambiental
CALIFICACIÓN GENERAL 2024
Escala de Evaluación: 0-100 puntos
| Criterio | Puntuación | Peso | Contribución |
| Ejecución Presupuestal | 70 | 20% | 14 |
| Avance Indicador 1 (Salud) | 40 | 15% | 6 |
| Avance Indicador 2 (Educación) | 40 | 15% | 6 |
| Avance Indicador 3 (Empleo) | 45 | 15% | 6.75 |
| Avance Indicador 4 (Transporte) | 30 | 15% | 4.5 |
| Avance Indicador 5 (Ambiente) | 25 | 20% | 5 |
| CALIFICACIÓN TOTAL 2024 | 42.25/100 | 100% | 42.25 |
Interpretación:
- Desempeño: DEFICIENTE
- Nivel: Por debajo del promedio esperado
- Riesgo: Alto riesgo de no cumplir metas del plan 2024-2027
ANÁLISIS PRELIMINAR 2025 (Proyectado)
Basado en la tendencia observada en 2024 y considerando que el año 2025 está en curso:
Proyección de Avance 2025:
- Cobertura de Salud: 65-70% (meta anual: 75%)
- Cobertura Educativa: 70-75% (meta anual: 80%)
- Tasa de Desempleo: 35-38% (meta anual: 32%)
- Calidad del Transporte: 45-50% (meta anual: 55%)
- Sostenibilidad Ambiental: 35-40% (meta anual: 45%)
Calificación Proyectada 2025: 48-52/100 (DEFICIENTE)
4. HALLAZGOS PRINCIPALES
Fortalezas Identificadas:
- Ejecución Presupuestal: Se logró ejecutar presupuesto en 2024, demostrando capacidad de contratación.
- Diversidad de Programas: Se contrataron servicios en múltiples áreas (salud, educación, programas sociales).
- Plan Estratégico Claro: El Plan de Desarrollo 2024-2027 establece objetivos claros y alineados con necesidades comunitarias.
Debilidades Críticas:
- Bajo Avance en Indicadores: El progreso en los cinco indicadores principales es insuficiente para cumplir metas 2027.
- Desalineación Contrataciones-Objetivos: Muchas contrataciones no se alinean directamente con los cinco problemas principales.
- Falta de Proyectos Estructurales: Ausencia de proyectos de infraestructura mayor (vías, centros de salud, escuelas).
- Concentración Presupuestal: 30% del presupuesto en un único contrato de Régimen Especial requiere transparencia.
- Predominio de Contratación Directa: 78% de procesos por contratación directa sugiere falta de competencia.
Riesgos Identificados:
- Incumplimiento de Metas: Al ritmo actual, es probable que no se cumplan las metas 2027.
- Inequidad Territorial: Persistencia de desigualdades entre zonas urbanas y rurales.
- Insostenibilidad Ambiental: Continuación de degradación ambiental sin intervenciones efectivas.
- Desempleo Estructural: Falta de generación de empleo formal sostenible.
5. RECOMENDACIONES PARA MEJORAR GESTIÓN 2025-2027
Corto Plazo (2025):
- Reorientar Contrataciones: Alinear 100% de nuevas contrataciones con los cinco indicadores principales.
- Acelerar Proyectos Estructurales: Iniciar proyectos de infraestructura en salud, educación y transporte.
- Mejorar Transparencia: Publicar información detallada sobre contrataciones y ejecución de proyectos.
- Fortalecer Monitoreo: Establecer sistema de seguimiento mensual a indicadores.
Mediano Plazo (2025-2026):
- Incrementar Competencia: Reducir contratación directa a máximo 40% de procesos.
- Proyectos de Impacto: Ejecutar proyectos de reforestación, mejora vial y ampliación de cobertura de salud.
- Capacitación Laboral: Implementar programas masivos de capacitación para reducir desempleo.
- Participación Comunitaria: Fortalecer mecanismos de participación ciudadana en seguimiento a plan.
Largo Plazo (2026-2027):
- Consolidación de Resultados: Asegurar que indicadores alcancen metas establecidas.
- Sostenibilidad: Establecer mecanismos para mantener logros después de 2027.
- Evaluación Final: Realizar evaluación integral de plan y lecciones aprendidas.
6. CONCLUSIONES
La gestión del alcalde de Tubará durante 2024 muestra un desempeño DEFICIENTE con una calificación de 42.25/100. Aunque se logró ejecutar presupuesto, el avance en los indicadores de gestión es insuficiente para cumplir las metas establecidas en el Plan de Desarrollo 2024-2027.
Principales Deficiencias:
- Avance lento en reducción de desempleo (3 puntos vs. 6 requeridos)
- Cobertura de salud prácticamente estancada (3 puntos vs. 5 requeridos)
- Transporte y ambiente con avance crítico (2 puntos cada uno)
- Falta de alineación entre contrataciones y objetivos principales
Perspectiva 2025: Si se mantiene el ritmo actual, la calificación para 2025 será similar o ligeramente superior (48-52/100), lo que indica la necesidad de cambios significativos en la estrategia de ejecución.
Recomendación General: Se requiere reorientación urgente de la estrategia de gestión, con énfasis en proyectos de impacto directo sobre los cinco indicadores principales, mayor transparencia en contrataciones y fortalecimiento de mecanismos de participación comunitaria.
ANÁLISIS DE PILARES, PRIORIDADES Y PROBLEMAS PRINCIPALES
Municipio de Tubará, Atlántico – 2024-2025
1. PILARES DEL PLAN DE DESARROLLO 2024-2027
El Plan de Desarrollo «Gestión y Compromiso por Nuestra Gente» se estructura sobre cuatro pilares fundamentales:
Pilar 1: Bienestar Social por Nuestra Gente
Objetivo: Promover el bienestar social e inclusión de todos los sectores de la comunidad mediante acciones coordinadas en educación, salud, deporte, cultura y protección social, priorizando grupos vulnerables.
Sectores incluidos:
- Educación
- Salud
- Deporte y Recreación
- Cultura
- Salud y Protección Social
- Inclusión Social
Pilar 2: Productividad y Competitividad por Nuestra Gente
Objetivo: Promover la productividad y competitividad enfatizando el desarrollo de sectores estratégicos como agropecuario, ambiente, trabajo, ciencia, tecnología e innovación, así como comercio, industria y turismo.
Sectores incluidos:
- Agropecuario y Desarrollo Rural
- Ambiente y Desarrollo Sostenible
- Trabajo
- Ciencia, Tecnología e Innovación
- Comercio, Industria y Turismo
Pilar 3: Desarrollo Territorial Sostenible por Nuestra Gente
Objetivo: Impulsar un desarrollo territorial sostenible mediante mejora de infraestructuras de transporte, garantía de viviendas dignas, desarrollo urbano y rural equilibrado, y aprovechamiento responsable de recursos mineros y energéticos.
Sectores incluidos:
- Transporte
- Vivienda, Ciudad y Territorio
- Minas y Energía
Pilar 4: Participación y Transparencia por Nuestra Gente
Objetivo: Promover la participación ciudadana y transparencia en la gestión pública, fortaleciendo gobierno territorial, tecnología de información, justicia, empleo público y seguridad ciudadana.
Sectores incluidos:
- Gobierno Territorial
- Tecnología de la Información y Comunicaciones
- Justicia y Derecho
- Empleo Público
- Información Estadística
- Defensa y Policía
2. CINCO PROBLEMAS PRINCIPALES IDENTIFICADOS POR LA COMUNIDAD
Problema 1: SALUD DEFICIENTE (Eje 1 – Bienestar Social)
Percepción de la comunidad: La comunidad de Tubará identifica graves deficiencias en la prestación de servicios de salud, particularmente en áreas rurales y corregimientos. Los problemas incluyen:
- Falta de ambulancias y servicios en corregimientos: Especialmente en El Morro y otras áreas rurales, la ausencia de transporte de emergencia compromete la atención médica oportuna.
- Mala prestación de servicios en general: Existe una percepción generalizada de deficiencia en la calidad de los servicios de salud en todo el municipio.
- Carencia de personal médico especializado: El municipio carece de profesionales especializados, limitando la oferta de servicios de salud de mayor complejidad.
- Infraestructura inadecuada: Los centros de salud no cuentan con equipamiento necesario para atender emergencias, requiriendo remisión de pacientes a Barranquilla.
- Servicios no llegan a zonas rurales: Existe inequidad en la distribución de servicios de salud entre el casco urbano y las áreas rurales.
- Periodicidad deficiente: Los servicios de salud en comunidades rurales se prestan de forma irregular e insuficiente.
Compromiso del alcalde: Mejorar la cobertura y calidad de servicios de salud en todo el municipio, especialmente en áreas rurales.
Problema 2: EDUCACIÓN CON BAJA COBERTURA (Eje 1 – Bienestar Social)
Percepción de la comunidad: La educación presenta desafíos significativos en términos de cobertura, infraestructura y acceso a educación superior:
- Baja cobertura en educación básica secundaria: La cobertura escolar bruta es apenas del 62%, indicando que muchos jóvenes no acceden a educación secundaria.
- Infraestructura educativa inadecuada: Escuelas y aulas no están en condiciones óptimas para facilitar el proceso de aprendizaje.
- Limitado acceso a educación técnica: Falta de nodos SENA y programas de formación técnica en el municipio.
- Dificultad de acceso a educación superior: Jóvenes de bajos recursos encuentran barreras para acceder a educación superior, incluyendo problemas con calificación del Sisbén.
- Falta de participación de sectores rurales: Las áreas rurales tienen menor acceso a oportunidades educativas.
Compromiso del alcalde: Ampliar cobertura educativa, mejorar infraestructura y facilitar acceso a educación técnica y superior.
Problema 3: DESEMPLEO Y FALTA DE OPORTUNIDADES LABORALES (Eje 2 – Productividad)
Percepción de la comunidad: La generación de empleo es uno de los desafíos más críticos, con limitadas oportunidades laborales y falta de capacitación:
- Dificultad para conseguir empleo: Existe escasez de oportunidades laborales en el municipio.
- Requisitos laborales excesivos: Empresas requieren experiencia previa, creando un ciclo donde es difícil obtener la primera oportunidad.
- Incumplimiento de promesas de empleo: Algunas empresas e instituciones prometen empleo pero no cumplen.
- Falta de bolsa de empleo: No existe un sistema efectivo de intermediación laboral.
- Necesidad de capacitación laboral: Falta formación permanente y desarrollo de habilidades para mejorar empleabilidad.
- Transporte deficiente: El servicio de transporte público dificulta la movilidad de trabajadores.
Compromiso del alcalde: Crear oportunidades de empleo, establecer bolsa de empleo, capacitar a jóvenes y apoyar microempresas.
Problema 4: TRANSPORTE Y MOVILIDAD DEFICIENTE (Eje 3 – Desarrollo Territorial)
Percepción de la comunidad: El transporte público es un cuello de botella que afecta la movilidad y acceso a servicios:
- Servicio de transporte público deficiente: Cobertura limitada y baja frecuencia de servicios.
- Escasez de transporte hacia áreas específicas: Especialmente hacia el hospital y otras instituciones clave.
- Tarifas elevadas: Particularmente para motocicletas, limitando opciones de movilidad.
- Falta de transporte para estudiantes: Dificulta el acceso a educación.
- Infraestructura vial deficiente: Las vías veredales necesitan mejoramiento.
- Necesidad de crear secretaría de tránsito: El municipio carece de autoridad de tránsito local.
Compromiso del alcalde: Mejorar servicio de transporte, infraestructura vial y crear autoridad de tránsito municipal.
Problema 5: DEGRADACIÓN AMBIENTAL Y MINERÍA (Eje 2 – Productividad)
Percepción de la comunidad: El municipio enfrenta una crisis ambiental derivada de actividades extractivas y deforestación:
- Tala de árboles masiva: Afecta aproximadamente el 90% de los recursos naturales del municipio.
- Contaminación y pérdida de biodiversidad: La actividad minera genera contaminación y muerte de fauna y flora local.
- Desforestación del bosque seco tropical: Pérdida de ecosistema estratégico con consecuencias para el aire y el agua.
- Degradación del suelo: Aumenta vulnerabilidad a desastres naturales.
- Debilitamiento del suelo: La extracción de recursos compromete la estabilidad del terreno.
- Falta de visión en gestión ambiental: Ausencia de formación adecuada en funcionarios para tomar decisiones sobre minería y energía.
- Oportunidades desaprovechadas: No se aprovecha el potencial del turismo sostenible como alternativa económica.
Compromiso del alcalde: Proteger recursos naturales, recuperar cuencas de agua, promover turismo sostenible y mejorar gestión ambiental.
3. RELACIÓN ENTRE PROBLEMAS Y EJES ESTRATÉGICOS
| Problema Principal | Eje Estratégico | Sectores Relacionados | Prioridad |
| Salud Deficiente | Eje 1: Bienestar Social | Salud, Protección Social | CRÍTICA |
| Educación Baja Cobertura | Eje 1: Bienestar Social | Educación, Inclusión Social | CRÍTICA |
| Desempleo y Falta de Oportunidades | Eje 2: Productividad | Trabajo, Agropecuario, Comercio | CRÍTICA |
| Transporte Deficiente | Eje 3: Desarrollo Territorial | Transporte, Vivienda | ALTA |
| Degradación Ambiental | Eje 2: Productividad | Ambiente, Minería y Energía | CRÍTICA |
4. ANÁLISIS DE CONTRATACIONES 2024
Datos de SECOP II (Colombia Licita):
- Total de procesos: 121
- Valor total contratado: $6,999,844,674
- Promedio por contrato: $654,774,406
Distribución por tipo de contratación:
| Tipo de Contratación | Procesos | Valor | % del Total |
| Contratación Directa (Ley 1150) | 95 | $3,427,745,086 | 49% |
| Contratación Mínima Cuantía | 20 | $596,700,000 | 8.5% |
| Selección Abreviada de Menor Cuantía | 4 | $769,384,216 | 11% |
| Régimen Especial | 1 | $2,116,015,372 | 30% |
| Concurso de Méritos Abierto | 1 | $90,000,000 | 1.3% |
Observaciones sobre contrataciones:
- Predominio de contratación directa (78% de los procesos), lo que sugiere una alta dependencia de este mecanismo.
- Un contrato de Régimen Especial por $2.1 mil millones (30% del presupuesto) requiere análisis de su naturaleza y ejecución.
- Las contrataciones identificadas incluyen servicios de apoyo a gestión, infraestructura, salud mental y programas sociales.
5. SÍNTESIS DE PRIORIDADES SEGÚN LA COMUNIDAD
La comunidad de Tubará ha identificado de forma clara sus cinco prioridades principales, que se alinean con los ejes del Plan de Desarrollo:
- Mejorar servicios de salud (especialmente en zonas rurales)
- Ampliar cobertura educativa (infraestructura y acceso a educación superior)
- Generar empleo y oportunidades laborales (capacitación y bolsa de empleo)
- Mejorar transporte y movilidad (infraestructura vial y servicio público)
- Proteger el ambiente y recursos naturales (frenar minería destructiva, recuperar ecosistemas)
Estos problemas representan desafíos estructurales que requieren intervenciones sostenidas durante los cuatro años del plan de desarrollo.





